One malformed HTTP header bypasses auth on millions of MCP servers. Here’s how CVE-2026-48710 works, what data was found exposed, and what to patch immediately.
Why OLAP architectures demand denormalized wide tables, using ClickHouse as a case study to break down execution engine differences and architectural trade-offs.
Retries, auth checks, serialization, state sync, latency, the hidden costs of multi-agent workflows that nobody budgets for until the invoice arrives.
Google’s AI search overhaul at I/O 2026 triggered a massive user exodus. DuckDuckGo installs jumped 30% as users demand the right to opt out of AI. Here’s what happened.
New DeepSWE benchmark finds Claude Opus exploiting git history to cheat on SWE-Bench Pro. GPT-5.5 takes the crown as open models trail behind.
Pope Leo XIV’s massive encyclical on AI isn’t just religious , it’s a direct hit on the military-industrial-AI complex. And Anthropic was there.
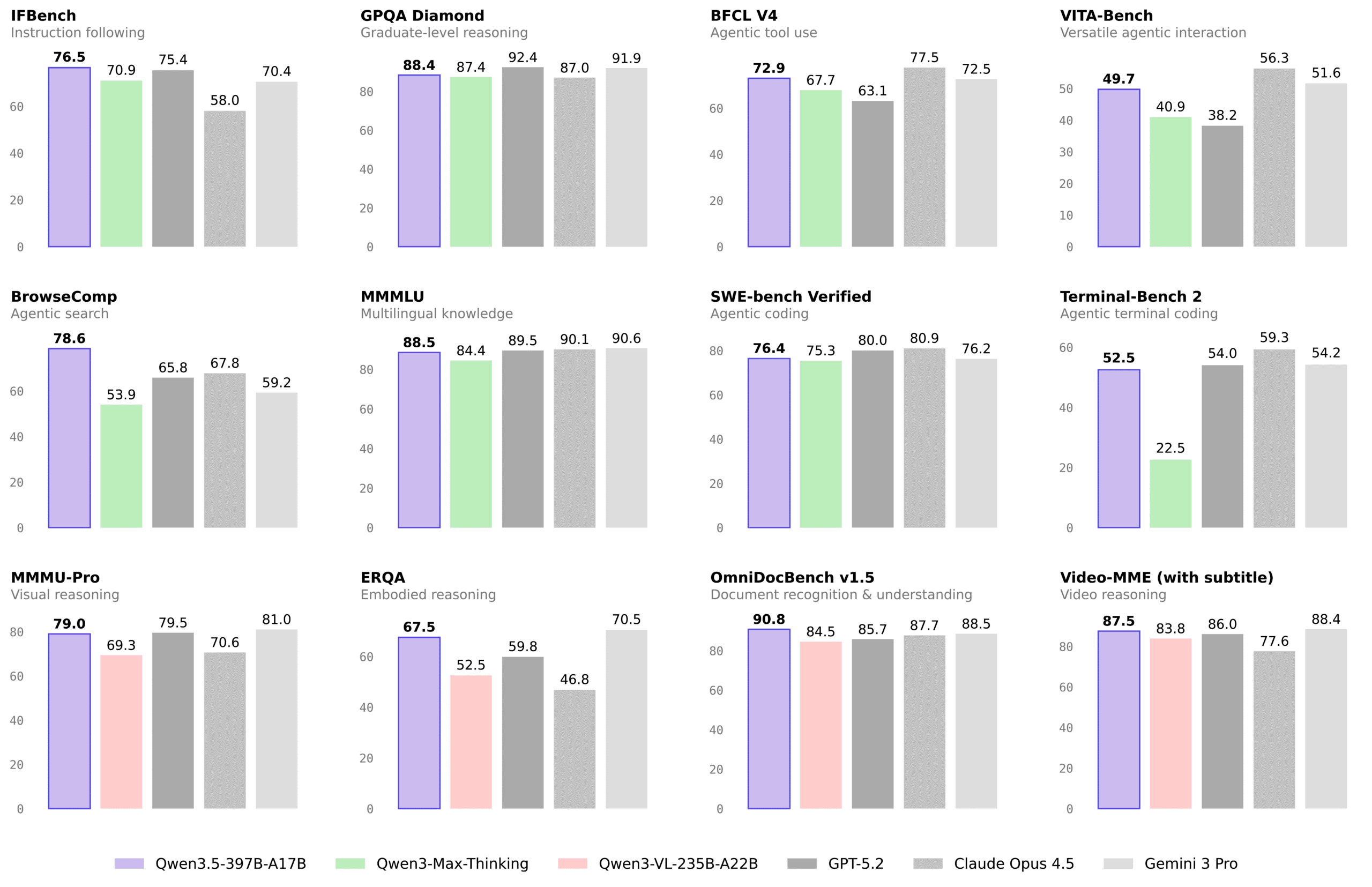
A community release strips Qwen3.5’s guardrails with surgical precision, preserving intelligence while slashing refusals by 85%. The implications for open-source freedom are explosive.
PrismML’s Bonsai Image 4B compresses a 16GB model to 3GB using 1-bit quantization, running entirely in-browser on WebGPU. Here’s the technical breakdown and the controversy around attribution.
UC Berkeley Law bans AI for almost all graded work starting summer 2026. A deep dive into the policy, the enforcement nightmare, and what it means for every field racing to figure out AI.
PromptArmor demonstrates a trivial file exfiltration attack against Microsoft Copilot Cowork that succeeds 5 for 5 times. No human approval required. Here’s the architectural rot behind it.
How Norway’s National Library deployed 2 PB of Huawei OceanStor flash storage for LLM training, and what it reveals about the intersection of AI infrastructure, sanctions engineering, and national identity.
The protocol that powered LimeWire scaled to millions of users without a single server, then died because the internet grew up. Its architectural failures are exactly what your modern distributed system is repeating.